Hallo
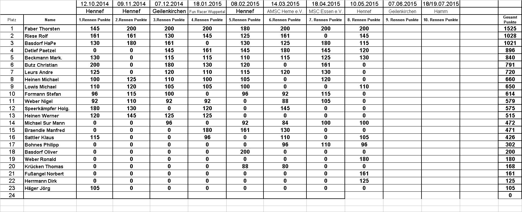
Hier kommt der Punktestand nach Hennef.
Gruß HaPe
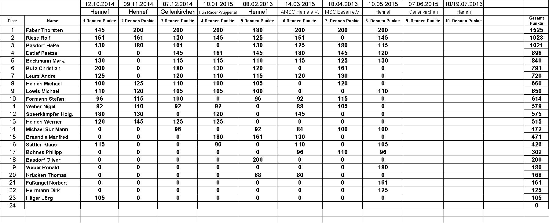
Hier kommt der Punktestand nach Hennef.
Gruß HaPe
Tamiya FF-03
Tamiya TT-01E
Tamiya TT-02
Tamiya M-02
Tamiya M-05 R
Tamiya M-07
HPI-GTI
Rennserie RC-Histo-TT-Cup
Tamiya TT-01E
Tamiya TT-02
Tamiya M-02
Tamiya M-05 R
Tamiya M-07
HPI-GTI
Rennserie RC-Histo-TT-Cup